Procentuel vækst og rentesregning

 

      
    Opgave06-d_rentesregning
     
  Nøgleord Eksempler på variabelnavn i formler
  Kapital (startkapital, slutkapital) K, K0, Kn
  Hovedstol K0, G
  Gæld G, Gn
  Restgæld  
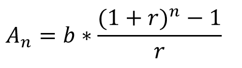
  Opsparing A, An
  Rente (beløb) R
  Rentefod (procent eller decimaltal) r
  p.a.  
  Termin n
  Afdrag  
  Løbetid  
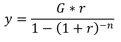
  Ydelse y
  Amortisering = låneafvikling  
  Primo  
  Ultimo  
     
  Formler: Anvendelse:
     
  

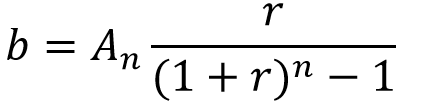
Beregn det beløb du kan låne på de givne betingelser  (annuitetslån).
     
 

"Ydelsesformlen".
Beregn ydelsen ved løbetid på n terminer (annuitetslån).
     
 

Beregn opsparingen efter n terminer (b = fast beløb).
     
 

Beregn beløbet der giver en bestemt opsparing (An) efter n terminer.
     
  "Fremskrivningsformlen"
Beregner beløbet (Kn) efter n terminer ved et startindskud (K0).
     
  Hvis renten i én periode er r1 beregnes renten i n perioder (rn).
     
     
    Formler i Word (til udskrift)
Links:    
  MatLex  
  sctknudgym.dk